Maxwell Model: Oedometer Test (FLAC2D)

Model Verification

The project file for this example may be viewed/run in FLAC2D.[1] The main data file used is shown at the end of this example.

How To Read and Use Examples

This example compares numerical and analytical solutions of an oedometer test carried out on a Maxwell substance. In this test, the base of the sample is fixed, lateral deformations are prevented, and a constant vertical load, \(P\), is applied at the top of the specimen.

The analytical solution for vertical strain and stresses is

(1)\[\epsilon_{zz}=- {{P} \over {K}} \left( 1 - c e^{-bt} \right)\]
(2)\[\sigma_{zz} = -P\]
(3)\[\sigma_{xx} = \sigma_{yy} = -P \left( 1-a e^{-bt} \right)\]

where \(a\), \(b\), and \(c\) are the three constants:

(4)\[a = 2 {{G} \over {K + 4G/3}}\]
(5)\[b = {{K} \over {\eta}} {{G} \over {K + 4G/3}}\]
(6)\[c = {{4} \over {3}} {{G} \over {K + 4G/3}}\]

\(K\) and \(G\) are bulk and shear modulus of the substance, and \(\eta\) is the viscosity.

The numerical simulation is carried out simultaneously on three samples, represented by one zone, using the Maxwell model, the Burgers model and the Burgers-Mohr model.

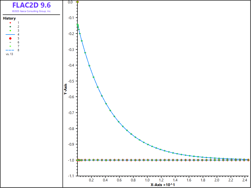
Because no value is assigned to the property viscosity-kelvin for the Burgers model and the Maxwell-Mohr model, the Kelvin cell logic is not taken into account by the models. Also, the cohesion property is set to a high value to prevent triggering of the plasticity logic for the Burgers-Mohr model. The initial state is obtained by cycling the model to elastic equilibrium. For the viscous response, velocities are reset to zero, and the initial timestep is set to a small value (\(\Delta t\) = 10-4) compared to the ratio of viscosity over shear modulus (\(\eta ^M/G^M\) = 2.0). With the choice of default automatic creep timestep parameter settings used in the example, the timestep increases by a factor of 1.01 when the out-of-balance force ratio is less than 10-3, until \(\Delta t\) = 10-2. A state of hydrostatic stress is reached at the end of the test. Figure 1 and Figure 2 show the agreement between analytical solutions and numerical predictions for stresses and strains in the three samples.

../../../../../_images/oedometer-maxwell-stress1.png

Figure 1: Oedometer test on a Maxwell substance: analytical and numerical stress values versus time.

../../../../../_images/oedometer-maxwell-strain1.png

Figure 2: Oedometer test on a Maxwell substance: analytical and numerical strain values versus time.

Data File

;------------------------------------------------------------
;       Oedometer test -- Maxwell substance
;-------------------------------------------------------------------
model new
model large-strain off
fish automatic-create off
model title "Oedometer test --- 'Maxwell' substance"
model configure creep
program call 'parameter'
[ini_cons]
; --- model ---
zone create quadrilateral size 5 1
zone cmodel assign maxwell       range position-x 0 1
zone cmodel assign burgers       range position-x 2 3
zone cmodel assign burgers-mohr  range position-x 4 5
zone null          range union position-x 1 2 position-x 3 4
;
zone property density 1 bulk [c_bu]
zone property shear  [c_sh] viscosity  [c_vi]  range position-x 0 1
zone property shear-maxwell [c_sh] viscosity-maxwell [c_vi] ...
              range position-x 2 3
zone property shear-maxwell [c_sh] viscosity-maxwell [c_vi] ...
              cohesion 1e20 tension 1e20 range position-x 4 5
;
zone gridpoint fix velocity-x
zone gridpoint fix velocity-y range position-y 0
zone face apply stress-normal -1.0 range position-y 1
; --- histories ---
history interval  1
zone history stress-xx position (0.5,0.5)
zone history stress-xx position (2.5,0.5)
zone history stress-xx position (4.5,0.5)
fish history ana_sxx
zone history stress-yy position (0.5,0.5)
zone history stress-yy position (2.5,0.5)
zone history stress-yy position (4.5,0.5)
fish history ana_syy
zone history displacement-y position 0 1
zone history displacement-y position 2 1
zone history displacement-y position 4 1
fish history ana_eyy
model history creep time-total
; --- elastic equilibrium ---
model solve convergence 1
; --- reset velocities to zero ---
zone gridpoint initialize velocity (0,0)
; --- viscous behaviour ---
model creep timestep starting 1.e-5
model creep timestep minimum  1.e-4 
model creep timestep maximum  1.e-2 
model solve time-total=25.
model save 'maxwell'
program return

Endnote