Examples • Verification Problems

Cylindrical Hole in an Infinite Curved Mohr-Coulomb Medium (FLAC3D)

Problem Statement

Note

The project file for this example is available to be viewed/run in FLAC3D.[1] The project’s main data file is shown at the end of this example.

Stresses and displacements calculation has been verified for the case of a cylindrical hole in an infinite Hoek-Brown medium subjected to an in-situ stress field and supported by an internal pressure. Here we recalculate the example but using the Curved Mohr-Coulomb model while keeping the input strength fitting the Hoek-Brown curve and all other parameters are the same.

Case 1: the index-strength is set to 1 and the input parameters are

index-strength

1

constant-a

0.5

constant-b

1.7

constant-s

0.0039

pressure-reference

30 MPa

Case 2: the index-strength is set to 3 and the input parameters are

index-strength

3

table-strength

‘t1’

dilation-factor

0.0

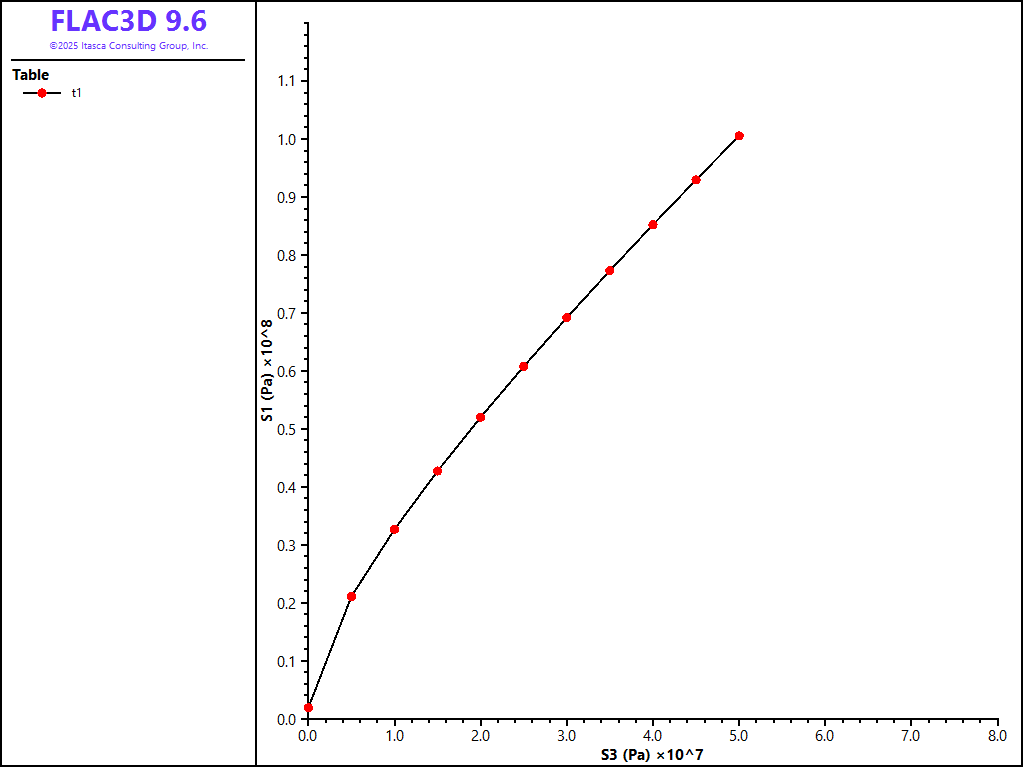
while the table ‘t1’ is created from a FISH function and is plotted as

../../../../../_images/cmc2cylinder-table.png

Figure 1: The input table of curved strength.

FLAC3D Model

The FLAC3D model created for this problem is a plane-strain model with the plane of analysis oriented normal to the axis of the hole. Only a quarter of the problem needs to be analyzed, because of symmetry. The grid is shown in Figure 2. As the figure indicates, it is a radially symmetric mesh with increasing zone size away from the hole. The grid contains 3600 zones, and the boundary is located at 20 radii from the center of the hole.

../../../../../_images/cmc1cylinder-geom.png

Figure 2: FLAC3D zone geometry for the plane-strain model.

Results and Discussion

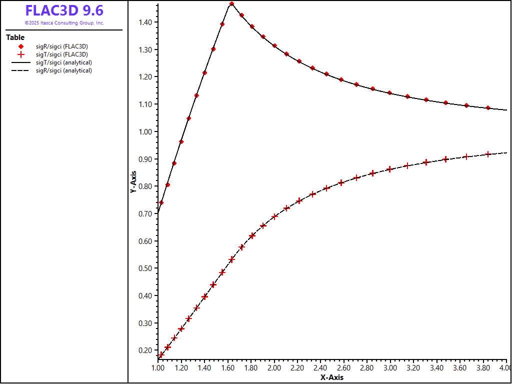
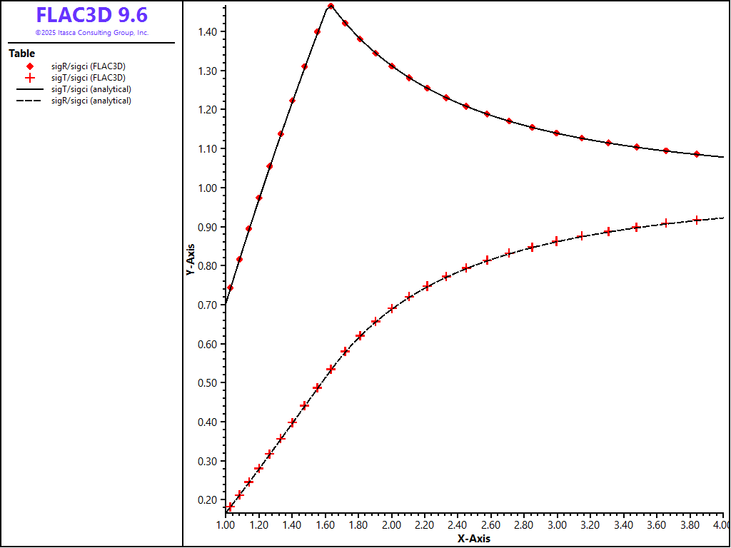
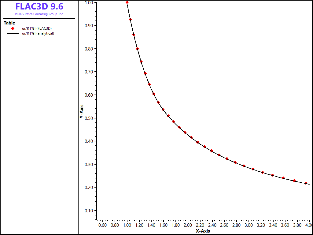
The calculated results for radial and tangential stresses and radial displacement are compared with the analytical solutions. In both cases, the matches are very good.

../../../../../_images/cmc1cylinder-stress.png

Figure 3: Comparison of \(\sigma_r\) and \(\sigma_\theta\) for the cylindrical hole in infinite Curved Mohr-Coulomb medium (along normalized path 1 < r/_radius_tunnel < 4), case 1.

../../../../../_images/cmc1cylinder-disp.png

Figure 4: Comparison of \(u_r\) for the cylindrical hole in an infinite Curved Mohr-Coulomb medium (along the normalized path 1 < r/_radius_tunnel < 4), case 1.

../../../../../_images/cmc1cylinder-failure.png

Figure 5: Curved Mohr-Coulomb failure envelope, acse 1.

../../../../../_images/cmc1cylinder-state.png

Figure 6: Plasticity indicators for Curved Mohr-Coulomb model, case 1.

../../../../../_images/cmc2cylinder-stress.png

Figure 7: Comparison of \(\sigma_r\) and \(\sigma_\theta\) for the cylindrical hole in infinite Curved Mohr-Coulomb medium (along normalized path 1 < r/_radius_tunnel < 4), case 1.

../../../../../_images/cmc2cylinder-disp.png

Figure 8: Comparison of \(u_r\) for the cylindrical hole in an infinite Curved Mohr-Coulomb medium (along the normalized path 1 < r/_radius_tunnel < 4), case 2.

../../../../../_images/cmc2cylinder-failure.png

Figure 9: Curved Mohr-Coulomb failure envelope, case 2.

../../../../../_images/cmc2cylinder-state.png

Figure 10: Plasticity indicators for Curved Mohr-Coulomb model, case 2.

Data File

CylinderInCurvedMohrCoulomb1.dat

model new
model large-strain off
model configure cluster
; Create zones
zone create cylindrical-shell point 0 (0,0,0) point 1 (40,0,0) ...
                              point 2 (0,0.2,0) point 3 (0,0,40) ...
                              dimension 2 ratio 1.05 size 60 1 60

zone cmodel assign curved-mohr-coulomb
zone property density = 2000.0 bulk 3.667e9 shear 2.2e9
zone property index-strength 1 pressure-reference 3e7
zone property constant-a 0.5 constant-b 1.7 constant-s 0.0039 

; Initialize stress field              
zone initialize stress xx -3e7 yy -3e7 zz -3e7
; Name the model boundaries
zone face skin
; Apply boundary conditions
zone face apply stress-normal -3e7 range group 'East'
zone face apply stress-normal -5e6 range group 'West1'
zone face apply velocity-normal 0.0 range group 'Bottom' or 'West2'
zone face apply velocity-normal 0.0 range group 'South' or 'North'
; Take some histories
model history mechanical ratio-local
; Solve the model
model solve convergence 1
; Save the model
model save 'cmc1'

CylinderInCurvedMohrCoulomb2.dat

model new
model large-strain off
model configure cluster
; Create zones
zone create cylindrical-shell point 0 (0,0,0) point 1 (40,0,0) ...
                              point 2 (0,0.2,0) point 3 (0,0,40) ...
                              dimension 2 ratio 1.05 size 60 1 60
  
fish define strength_curve(tname)
    local a = 0.5
    local s = 0.0039
    local mb = 1.7
    local sci = 3e7
    global t1 = table.create(tname)
    local ii = 0
    loop local s3 (0, 5e7, 5e6)
        ii = ii + 1
        local s1 = s3 + sci*(mb*s3/sci + s)^a
        table.x(tname,ii) = s3
        table.y(tname,ii) = s1
    endloop
end
[strength_curve("t1")]
zone cmodel assign curved-mohr-coulomb
zone property density = 2000.0 bulk 3.667e9 shear 2.2e9
zone property index-strength 3 table-strength 't1' dilation-factor 0.0
              
; Initialize stress field              
zone initialize stress xx -3e7 yy -3e7 zz -3e7
; Name the model boundaries
zone face skin
; Apply boundary conditions
zone face apply stress-normal -3e7 range group 'East'
zone face apply stress-normal -5e6 range group 'West1'
zone face apply velocity-normal 0.0 range group 'Bottom' or 'West2'
zone face apply velocity-normal 0.0 range group 'South' or 'North'
; Take some histories
model history mechanical ratio-local
; Solve the model
model solve convergence 1
; Save the model
model save 'cmc2'

Endnote