One-Dimensional Solution of Thermal Transport by Forced Convection and Conduction (FLAC3D)

Verification Problem

The project file for this example may be viewed/run in FLAC3D.[1] The main data file used is shown at the end of this example.

How To Read and Use Examples

This example illustrates the effect of forward and backward forced convection on the temperature profile, corresponding to forward conduction in a saturated plane sheet of thickness, \(L\). Natural convection is not considered, and Darcy flux is constant throughout the simulation. The temperature is fixed at the top and bottom of the sheet. The temperature, initially uniform and equal to \(T_0\), is raised suddenly to \(T_1\) at the top. Its evolution is monitored in the sheet as time goes on.

At steady state, the one-dimensional form of the energy balance equation (this equation and the three that follow) may be expressed as

\[{{\partial^2 \hat T} \over {\partial \hat x^2}} - P_e {{\partial \hat T} \over {\partial \hat x}} = 0\]

where \(\hat T = (T - T_0)/ T_0\), \(\hat x = x / L\), the origin of the coordinate is at the bottom of the sheet, \(x\) is pointing up, \(P_e = \rho_0 c_w q_w L / k^T\), \(P_e\) is the Peclet number, and \(q_w\) is the specific discharge in the \(x\)-direction.

The solution, with boundary conditions \(\hat T = 0\) at \(\hat x = 0\) and \(\hat T = \hat T_1\) at \(\hat x = 1\), is

\[\hat T = \hat T_1 {{e^{P_e \hat x} - 1} \over {e^{P_e} - 1}}\]

Global FISH constants and FISH functions to compare to the analytical solution are provided in the project. The Peclet number for the simulation has a magnitude of 1.54. The numerical solution for convection-conduction (solid line) is compared to the analytical solution for conduction (symbol) in Figure 1 and Figure 2. On these plots, the effect of fluid flow is seen to displace the temperature curves in the direction of the flow.

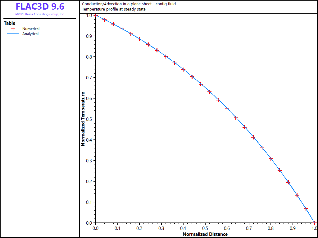
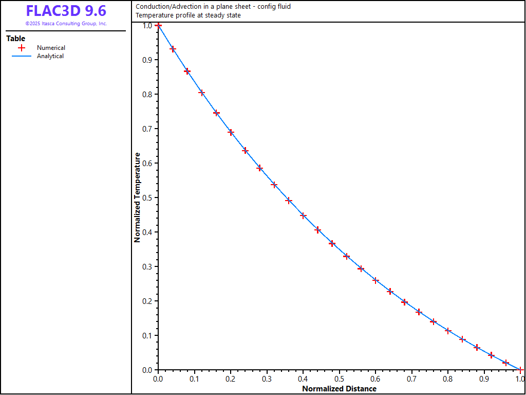
The FLAC3D temperature profile for convection-conduction is compared to the analytical solution at steady state in Figure 3 and Figure 4. As can be seen from these figures, the match is very good for this particular simulation.

The numerical simulation can be conducted with the fluid configuration (see “ConvectionAndConductionThermalTransportFluidOn.dat”) or without the fluid configuration (see “ConvectionAndConductionThermalTransportFluidOff.dat”), and with an attached grid (see “ConvectionAndConductionThermalTransportFluidAttach.dat”).

The stability of the numerical algorithm implemented in FLAC3D can be appreciated by exercising the files for various values of the grid Peclet and Courant numbers. For example, by varying grid density and specific discharge, the values of grid Peclet and Courant numbers for which the algorithm is stable may be derived. (See the discussion on numerical stability in Stability and Accuracy.)

../../../../../_images/convectionandconduction-fluidon-temp1-fwd1.png

Figure 1: Comparison of temperature versus distance at three different times for convection and conduction acting in the same direction (solid lines) and conduction alone (symbols).

../../../../../_images/convectionandconduction-fluidon-temp2-fwd1.png

Figure 2: Comparison of temperature versus distance at three different times for convection and conduction acting in opposite directions (solid lines) and conduction alone (symbols).

../../../../../_images/convectionandconduction-fluidon-temp1-bwd1.png

Figure 3: Comparison of numerical (symbols) and analytical (solid lines) temperature versus distance profiles at steady state for convection and conduction acting in the same direction.

../../../../../_images/convectionandconduction-fluidon-temp2-bwd1.png

Figure 4: Comparison of numerical (symbols) and analytical (solid lines) temperature versus distance profiles at steady state for convection and conduction acting in opposite directions.

Data Files

ConvectionAndConductionThermalTransportFluidOn.dat

model new
model title 'Conduction/Advection in a plane sheet - config fluid'
model configure thermal
;
zone create brick size 1 1 25 point 1 (0.1,0,0) point 2 (0,0.1,0) ...
                              point 3 (0,0,1)
zone face skin
; --- load fish constants and functions ---
program call 'fishfunctions' suppress
; --- thermal model ---
;  (no need to assign effective prop)
;  (mech model not needed to assign material density)
;  (f_thexp = 0, so there is no free convection)
zone thermal cmodel advection-conduction
zone thermal property conductivity 1.6 specific-heat 0.2
zone thermal property conductivity-fluid 0. specific-heat-fluid 0.2
; --- fluid model ---
model configure fluid-flow
zone fluid property mobility-coefficient 2 porosity 0.5
zone fluid property fluid-modulus 50 fluid-density 1
zone property density 1000 

zone face apply temperature 100 range group 'Bottom'
zone face apply temperature   0 range group 'Top'
model save 'cond-adv_fl-on_init'

; forward convection
zone face apply pore-pressure 5. range group 'Bottom'
zone face apply pore-pressure 0. range group 'Top'

zone fluid implicit servo on
model solve-fluid time-total 3e-3
model solve-thermal time-total 1.5
[cons]
[num_sol]
[ana_sol]
model solve-thermal time-total 7.5
[num_sol]
[ana_sol]
model solve-thermal time-total 75
[num_sol]
[ana_sol]
[ssac_sol]
model save 'cond-adv_fl-on_fwd'

; backward convection
model restore 'cond-adv_fl-on_init'
zone face apply pore-pressure 5. range group 'Top'
zone face apply pore-pressure 0. range group 'Bottom'

zone fluid implicit servo on
model solve-fluid time-total 3e-3
model solve-thermal time-total 1.5
[cons]
[num_sol]
[ana_sol]
model solve-thermal time-total 7.5
[num_sol]
[ana_sol]
model solve-thermal time-total 75
[num_sol]
[ana_sol]
[ssac_sol]
model save 'cond-adv_fl-on_bwd'

program return

ConvectionAndConductionThermalTransportFluidOff.dat

model new
model title '  Conduction/advection in a plane sheet - not in config fluid'
model configure thermal
;
zone create brick size 1 1 25 point 1 (0.1,0,0) point 2 (0,0.1,0) ...
                              point 3 (0,0,1)
zone face skin
; --- load fish constants and functions ---
program call 'fishfunctions' suppress
; --- thermal model ---
;     (f_thexp = 0 for no free convection)
zone thermal cmodel advection-conduction
zone thermal property specific-heat-fluid 0.2
zone thermal property conductivity-effective 1.6 specific-heat-effective 0.201
zone property density 1000
zone fluid-density 1
zone face apply temperature 100 range group 'Bottom'
zone face apply temperature   0 range group 'Top'
model save 'cond-adv_fl-off_init'

; forward convection
zone thermal property specific-discharge-x 0 specific-discharge-y 0 ...
             specific-discharge-z 10
             
zone thermal implicit servo off             
model solve-thermal time-total 1.5
[cons]
[num_sol]
[ana_sol]
model solve-thermal time-total 7.5
[num_sol]
[ana_sol]
model solve-thermal time-total 75
[num_sol]
[ana_sol]
[ssac_sol]
model save 'cond-adv_fl-off_fwd'

; backward convection
zone thermal property specific-discharge-x 0 specific-discharge-y 0 ...
             specific-discharge-z -10
             
model solve-thermal time-total 76.5
[cons]
[num_sol]
[ana_sol]
model solve-thermal time-total 82.6
[num_sol]
[ana_sol]
model solve-thermal time-total 150
[num_sol]
[ana_sol]
[ssac_sol]
model save 'cond-adv_fl-off_bwd'

program return

ConvectionAndConductionThermalTransportFluidAttach.dat

model new
model title ...
      'Conduction/Advection in a plane sheet - attached grid/config fluid'
fish automatic-create off
model configure thermal
; --- load fish constants and functions ---
program call 'fishfunctions' suppress
; finer grid on top attached to a coarser grid below
zone create brick size 1 1 10 point 0 (0,0,0)     point 1 (0.1,0,0)   ...
                              point 2 (0,0.1,0)   point 3 (0,0,0.5)
zone create brick size 2 2 15 point 0 (0,0,0.5)   point 1 (0.1,0,0.5) ...
                              point 2 (0,0.1,0.5) point 3 (0,0,1)
zone attach by-face range position-z .499 .501
; --- thermal model ---
;  (no need to assign effective prop)
;  (mech model not needed to assign material density)
;  (f_thexp = 0, so there is no free convection)
zone thermal cmodel advection-conduction
zone thermal property conductivity 1.6 specific-heat 0.2
zone thermal property conductivity-fluid 0. specific-heat-fluid 0.2

model configure fluid-flow
zone fluid implicit off
zone fluid property mobility-coefficient 2 porosity 0.5
zone fluid property fluid-modulus 50
zone fluid property fluid-density 1
zone initialize density 1000 

zone face apply temperature 100 range position-z 0
zone face apply temperature   0 range position-z 1

model save 'cond-adv_fl-att_init'

; forward convection
zone face apply pore-pressure 5. range position-z 0
zone face apply pore-pressure 0. range position-z 1

; --- first establish flow field ---
zone fluid implicit servo on
model solve-fluid time-total 3e-3
; --- settings ---
; --- test ---
; (adv-cond plot is in solid line)
model solve-thermal time-total 1.5
[cons]
[num_sol]
[ana_sol]
model solve-thermal time-total 7.5
[num_sol]
[ana_sol]
model solve-thermal time-total 75
[num_sol]
[ana_sol]
[ssac_sol]
model save 'cond-adv_fl-att_fwd'

; backward convection
model restore 'cond-adv_fl-att_init'
zone face apply pore-pressure 5 range position-z 1
zone face apply pore-pressure 0 range position-z 0

; --- first establish flow field ---
zone fluid implicit servo on
model solve-fluid time-total 3e-3
; --- test ---
; (adv-cond plot is in solid line)
model solve-thermal time-total 1.5
[cons]
[num_sol]
[ana_sol]
model solve-thermal time-total 7.5
[num_sol]
[ana_sol]
model solve-thermal time-total 75
[num_sol]
[ana_sol]
[ssac_sol]
model save 'cond-adv_fl-att_bwd'

program return

Endnote