One-Dimensional Consolidation Considering Secondary Compression (FLAC3D)

Note

The project file for this example is available to be viewed/run in FLAC3D.[1] The project’s main data files are shown at the end of this example.

A saturated layer of soil of thickness \(H\) = 10 m and large horizontal extent rests on a rigid impervious base. A constant surface load, \(p_z\) = 4 × 105 Pa, is applied on the layer under undrained conditions. The soil matrix is homogeneous soft soil and modeled by Soft-Soil-Creep (SSC) and by Soft-Soil (SS) to check the secondary compression effect; a uniform effective vertical stress \(\sigma'_{v0}\) = 4 × 104 Pa is assumed for the soil layer for simplicity; the isotropic Darcy’s transport law applies. The applied pressure is initially carried by the fluid, but as time goes on the fluid drains through the layer surface, transferring the load to the soil matrix. The drainage is two-way.

The following parameters are prescribed for this example:

specific density of soil solid, \(G_s\)

2.78

initial void ratio, \(e_0\)

2.7

permeability (conventional), \(k\)

5 × 10-10 m/s

\(C_c\)

1.0

\(C_s\)

0.1

friction at critical state

30 degrees

Poisson’s ratio

0.2

OCR

1.0

\(K_{nc}\)

0.5

water bulk modulus, \(K_w\)

2 × 108 Pa

For SSC model, two additional parameters are: reference time \(\tau\) = 2200 seconds and \(C_\alpha\) = 0.04. Two scenarios are analyzed - A: considering secondary compression (creep), realized by using SSC model to the soil matrix; and B: not considering the secondary compression (creep), realized by using SS model to the soil matrix.

The FLAC3D model grid for this problem is a column of 40 zones of unit dimensions lined up along the \(z\)-axis. (See Figure 1.) The base of the column is fixed, and lateral displacements are restricted in the \(x\)- and \(y\)-directions. A mechanical pressure, \(p_z\), is applied at the top of the column.

At first, flow is prevented and the model is stepped to equilibrium to establish the initial undrained conditions. At the end of this stage, the stress \({\sigma}_{zz}\) has the value \(-(p_z+\sigma'_{v0})\), in equilibrium with the applied pressure. Drainage is then allowed by setting the pore pressure to zero at the top and base of the column. The FLAC3D model is cycled to a flow time of 20 years.

break

../../../../../_images/onedconsolidation-grid.png

Figure 1: FLAC3D grid for one-dimensional consolidation.

../../../../../_images/onedconsolidation-epp.png

Figure 2: Comparison of excess pore pressure with and without secondary compression (creep) at various times in a 1D consolidation test.

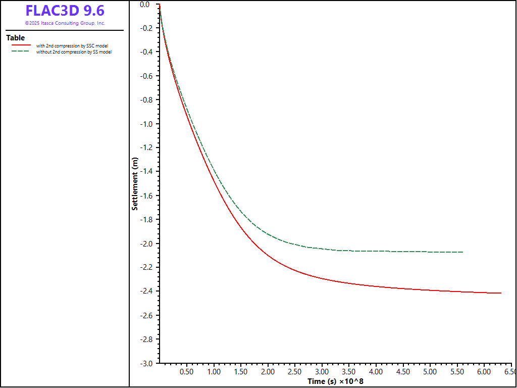
../../../../../_images/onedconsolidation-settlement.png

Figure 3: Comparison of vertical displacement with and without secondary compression (creep) in a 1D consolidation test.

Figure 2 presents the excess pore pressure (EPP) at time of 0.5. 1, 2,, 3, 4, 5, 6, and 20 years for scenario A and B. At the same time, this example shows quicker EPP dissipation if considering the secondary compression.

Figure 3 plots the vertical displacement (settlement) for 20 years. It is clear that the settlement is starting flatted to about 2.2 m from about 3.5 years if not considering the secondary compression, while the settlement is continuously increasing if considering the secondary compression.

Data File

1DConsolidation-Coupled.dat

model new
model title "One-dimensional consolidation"
; Parameterization file
program call "parameters" suppress
; Geometry
zone create brick size 1 1 [nz] point 0 (0,0,0) point 1 ([maxx],0,0) ...
                                point 2 (0,[maxy],0) point 3 (0,0,[maxz])
zone face skin
; Mechanical
model large-strain off
zone cmodel assign soft-soil
zone property density [rhod] lambda-modified [lambda] kappa-modified [kappa] 
zone property poisson [pr] friction [fri] over-consolidation-ratio [ocr] 
zone property coefficient-normally-consolidation [knc]
zone property void-initial [e0]
zone property stress-1-effective [-sv0] stress-2-effective [-knc*sv0] ... 
              stress-3-effective [-knc*sv0]
zone face apply velocity-x 0.0 range group 'West' or 'East'
zone face apply velocity-y 0.0 range group 'North' or 'South'
zone face apply velocity-z 0.0 range group 'Bottom'
zone initialize stress-xx [-knc*sv0] 
zone initialize stress-yy [-knc*sv0] 
zone initialize stress-zz [-sv0]
zone face apply stress-zz [-sv0-svd] servo ramp minimum [1/11] range group 'Top'
; --- fluid flow model ---
model configure fluid-flow
zone fluid property mobility-coefficient [perm] porosity [poro] 
zone fluid property fluid-modulus 2e8 fluid-density [rhow]
zone fluid property pore-pressure-generation on
;
model solve-static 0.01
model save 'afterLoading'
;
zone gridpoint initialize displacement (0,0,0)
; --- histories ---
history interval 1000
model history name='time' fluid time-total
zone history name='dztop' displacement-z position ([maxx],[maxy],[maxz])
; Update fluid settings
zone face apply pore-pressure 0 range group 'Top'
zone face apply pore-pressure 0 range group 'Bottom'
zone results pore-pressure on
;
zone fluid implicit servo on ; error=1e-5
model solve-fluid-coupled time [0.5*365*24*3600] convergence 1
model results export 'nocreep1'
;
model solve-fluid-coupled time [0.5*365*24*3600] convergence 1 
model results export 'nocreep2'
;
model solve-fluid-coupled time [1*365*24*3600] convergence 1 ;
model results export 'nocreep3'
;
model solve-fluid-coupled time [1*365*24*3600] convergence 1 
model results export 'nocreep4'
;
model solve-fluid-coupled time [1*365*24*3600] convergence 1 
model results export 'nocreep5'
;
model solve-fluid-coupled time [1*365*24*3600] convergence 1 
model results export 'nocreep6'
;
model solve-fluid-coupled time [1*365*24*3600] convergence 1 
model results export 'nocreep7'
;
model solve-fluid-coupled time [14*365*24*3600] convergence 1 ; total 20
model results export 'nocreep8'

model save 'noCreep'

1DConsolidation-Coupled10M.dat

model new
model title "One-dimensional consolidation with Soft-Soil-Creep model"
;
program call "parameters.dat" suppress
;
zone create brick size 1 1 [nz] point 0 (0,0,0) point 1 ([maxx],0,0) ...
                                point 2 (0,[maxy],0) point 3 (0,0,[maxz])
zone face skin
; Mechanical
model large-strain off
model configure creep
zone cmodel assign soft-soil-creep
zone property density [rhod] lambda-modified [lambda] kappa-modified [kappa]
zone property poisson [pr] friction [fri] over-consolidation-ratio [ocr] 
zone property coefficient-normally-consolidation [knc]
zone property index-creep [mu] time-reference 2200
zone property void-initial [e0]
zone property stress-1-effective [-sv0] stress-2-effective [-knc*sv0] ... 
              stress-3-effective [-knc*sv0]
zone face apply velocity-x 0.0 range group 'West' or 'East'
zone face apply velocity-y 0.0 range group 'North' or 'South'
zone face apply velocity-z 0.0 range group 'Bottom'
zone initialize stress-xx [-knc*sv0] 
zone initialize stress-yy [-knc*sv0] 
zone initialize stress-zz [-sv0]
zone face apply stress-zz [-sv0-svd] servo ramp minimum [1.0/11] range group 'Top'
; --- fluid flow model ---
model configure fluid-flow
zone fluid property mobility-coefficient [perm] porosity [poro]
zone fluid property fluid-modulus 2e8 fluid-density [rhow]
zone fluid property pore-pressure-generation on
;
model solve-static convergence 0.01
model save 'afterLoading'
;
zone gridpoint initialize displacement (0,0,0)
; --- histories ---
history interval 1000
model history name='time' fluid time-total
zone history name='dztop' displacement-z position ([maxx],[maxy],[maxz])
; Update fluid settings
zone face apply pore-pressure 0 range group 'Top'
zone face apply pore-pressure 0 range group 'Bottom'
zone results pore-pressure on
; Creeep servo settings
model creep timestep automatic minimum 1e-16 maximum 1000
model creep timestep starting 1e-16
;
model solve time [0.5*365*24*3600]
model results export 'withcreep1'
;
model creep timestep starting 1e-16
model solve time [0.5*365*24*3600]
model results export 'withcreep2'
;
model creep timestep starting 1e-16
model solve time [1*365*24*3600] 
model results export 'withcreep3'
;
model creep timestep starting 1e-16
model solve time [1*365*24*3600] 
model results export 'withcreep4'
;
model creep timestep starting 1e-16
model solve time [1*365*24*3600] 
model results export 'withcreep5'
;
model creep timestep starting 1e-16
model solve time [1*365*24*3600] 
model results export 'withcreep6'
;
model creep timestep starting 1e-16
model solve time [1*365*24*3600] 
model results export 'withcreep7'
;
model creep timestep starting 1e-16
model solve time [14*365*24*3600]
model results export 'withcreep8'
;
model save 'withCreep'

Endnote