FLAC3D Theory and Background • Constitutive Models

Triaxial Compression Test with Hoek-Brown Model

Note

The project file for this example is available to be viewed/run in FLAC3D. The project’s main data file is shown at the end of this example.

The triaxial compression tests performed using the Hoek-Brown-PAC model are repeated for the Hoek-Brown model, with the same material properties:

\(m_b\)

5

\(s\)

0.5

\(\sigma_{ci}\)

1.0 MPa

\(\sigma^{cv}_3\)

1.5 MPa

\(E\)

100 MPa

\(\nu\)

0.35

Two compression loading tests are performed:

at zero confining stress, \(\sigma_{3}/\sigma_{ci}\) = 0, and

at high confining stress, \(\sigma_{3}/\sigma_{ci}\) = 1.

For the zero confining stress case, we specify an associated flow rule; this is done with the command:

zone property flag-dilation = -1

For the higher confining stress case, we need to specify a dilation angle that is consistent with the limiting constant-volume stress, \(\sigma^{cv}_3\) = 1.5, chosen for the triaxial compression test for the Hoek-Brow-PAC model. We linearly interpolate a value for dilation corresponding to the current confining stress level of \(\sigma_{3}\) = 1, relative to a nonassociated zero dilation at \(\sigma^{cv}_3\) = 1.5. The current dilation, \(\psi_c\), is then taken to be a fraction of the current friction angle, \(\phi_c\), using the linear interpolation:

\[{\psi_c \over \phi_c} = 1 - {\sigma_3 \over \sigma^{cv}_3} = 0.333\]

The following commands are used to apply the modified Hoek-Brown model for this case:

zone property flag-dilation = 0.333

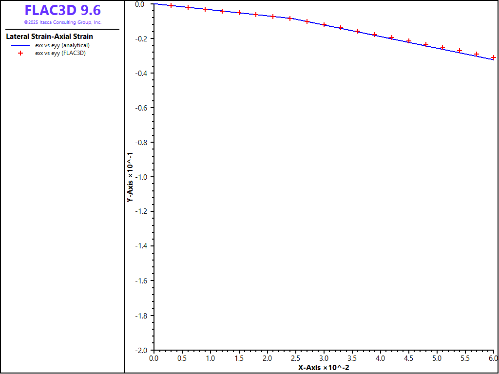
The FLAC3D results for the zero confining stress case are compared to the analytical solution (see Triaxial Compression Test with Hoek-Brown-PAC Model) in Figure 1 and Figure 2, and the results for the high confining stress case are compared in Figure 3 and Figure 4.

break

../../../../../_images/modelmhoek-test0-stress.png

Figure 1: Triaxial compression test—stress versus axial strain (\({\sigma_3}/{\sigma_{ci}}\) = 0).

../../../../../_images/modelmhoek-test0-strain.png

Figure 2: Triaxial compression test—lateral strain versus axial strain (\({\sigma_3}/{\sigma_{ci}}\) = 0).

../../../../../_images/modelmhoek-test1-stress.png

Figure 3: Triaxial compression test—stress versus axial strain (\({\sigma_3}/{\sigma_{ci}}\) = 1.0).

../../../../../_images/modelmhoek-test1-strain.png

Figure 4: Triaxial compression test—lateral strain versus axial strain (\({\sigma_3}/{\sigma_{ci}}\) = 1.0).

Data File

TriaxialCompressionHoekBrown.dat

; Triaxial tests on a Modified Hoek-Brown material,
model new
model large-strain off
fish automatic-create off
model title "Triaxial Test on a Hoek-Brown material"
program call 'input_record'
[input]
zone create brick size 1 1 1
zone cmodel assign hoek-brown
zone property density = 1.0 shear=[shear] bulk=[bulk]
zone property constant-sci = [sig_ci]
;; Method #1
zone property geological-strength-index=100 constant-mi=[mb] 
;; Method #2
;zone property constant-s=[a] constant-a=[s] constant-mb=[mb] 
;
[locptrs]
zone face apply velocity-y [y_vel] range position-y 1.0
zone face apply velocity-y [-y_vel] range position-y 0.0
fish history record_variables
history interval 1000
fish history eps_xx
fish history eps_yy
fish history eps_yy
fish history sig_xx
fish history sig_yy
fish history sig_zz
model save 'ini'
; unconfined
zone property flag-dilation = -1
[global sig_conf=0.0]
zone face apply stress-xx = [sig_conf]
zone face apply stress-zz = [sig_conf]
zone initialize stress xx = [sig_conf] yy = [sig_conf] zz = [sig_conf]
model step [cyc]
model save 'conf0'
; confined
model restore 'ini'
zone property flag-dilation = 0.333
[global sig_conf=-1.0]  ; negative is compression
zone face apply stress-xx = [sig_conf]
zone face apply stress-zz = [sig_conf]
zone initialize stress xx = [sig_conf] yy = [sig_conf] zz = [sig_conf]
model step [cyc]
model save 'conf1'