Conduction in a Plane Sheet (FLAC2D)

Example Application

The project file for this example may be viewed/run in FLAC2D.[1] The main data file used is shown at the end of this example.

How To Read and Use Examples

A plane sheet of thickness \(L\) = 1 m is initially at a constant temperature of 0°C. One side of the sheet is exposed to a constant temperature of 100°C, while the other side is kept at 0°C. The sheet eventually reaches an equilibrium state at a constant heat flux and unchanging temperature distribution.

The analytical solution to this problem for the transient temperature distribution is given by Crank (1975):

\[\begin{split}T(z,t)\ = \ T_1 &+ {z \over {L}} (T_2-T_1) + {2 \over {\pi}} \sum_{n=1}^\infty e^{-\kappa n^2\pi^2t/L^2}\left({T_2 \cos (n \pi) - T_1 \over n}\right) \sin {n \pi z \over L} \\ &+ {2 \over L} \sum_{n=1}^\infty e^{-\kappa n^2\pi^2t/L^2} \left( \int_0^L f(z')\sin {{n\pi z'} \over L} \mathrm{d}z' \right) \sin {n \pi z \over L}\end{split}\]

where:

\(T_1\) is the fixed temperature at \(z\) = 0 of the sheet;

\(T_2\) is the fixed temperature at \(z\) = \(L\) of the sheet;

\(L\) is the width of the sheet;

\(t\) is time;

\(z\) is distance across the sheet;

\(f(z)\) is the initial temperature distribution function in the range of \(0 < z < L\); and

\(\kappa\) is equal to \(k/({\rho}C_p)\), where \(k\) is the thermal conductivity, \(\rho\) is the density, and \(C_p\) is the specific heat.

Particularly for \(f(z) = T_2\) (the case in this example), the solution becomes

\[{{T(z,t)-T_2} \over {T_1-T_2}}\ =\ 1 - {z \over {L}} - {2 \over {\pi}} \sum_{n=1}^\infty e^{-\kappa n^2\pi^2t/L^2}\left({\sin {n \pi z \over L} \over n}\right)\]

The thermal conductivity for this example is 1.6 W/m °C, the specific heat is 0.2 J/kg °C, the mass density of the material is 1000 kg/m3, and the temperature, T, is 100°C.

The analytical solution is programmed as a FISH function for direct comparison to the numerical results at selected thermal times. The analytical and numerical temperature results for these times are stored in tables.

In the FLAC2D model, the sheet is defined as a column of 25 zones. A constant temperature boundary of 100°C is applied at the face located at y = 0, and a constant temperature boundary of 0 °C is applied at the face located at y = 1. The model grid is shown in Figure 1:

../../../../../_images/planesheetconduction-grid.png

Figure 1: FLAC2D grid for conduction in a plane sheet.

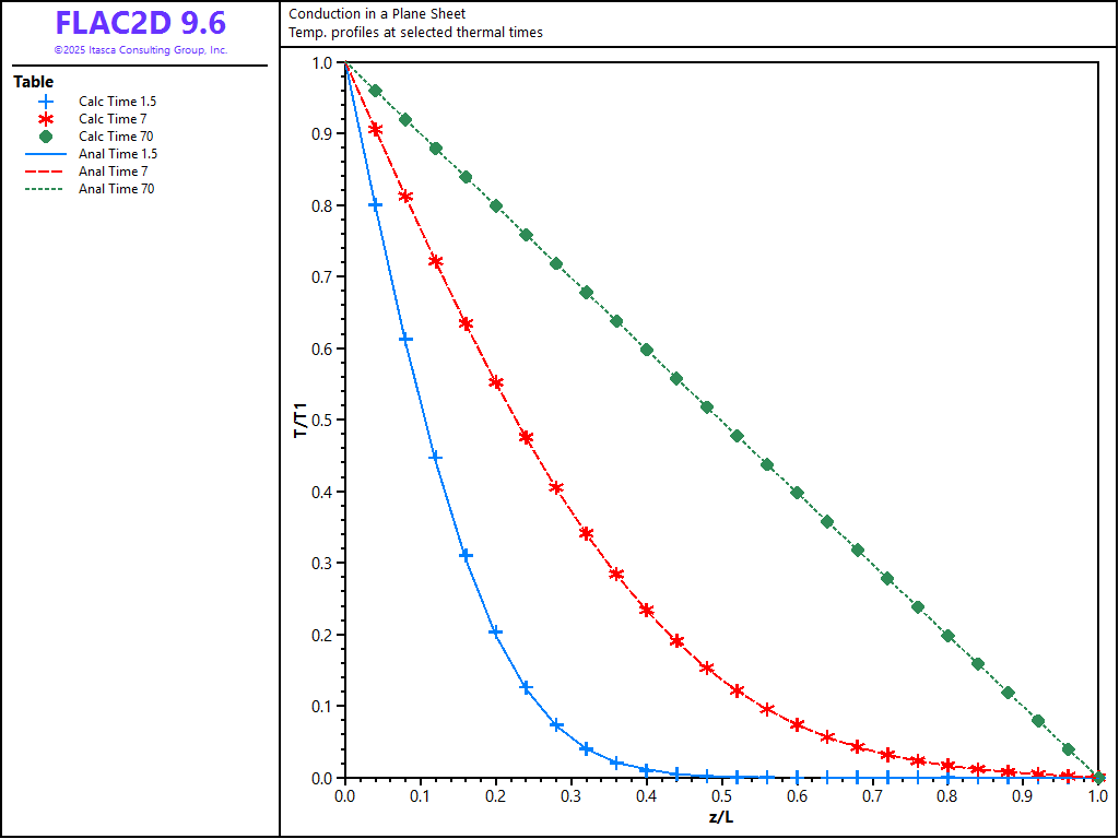
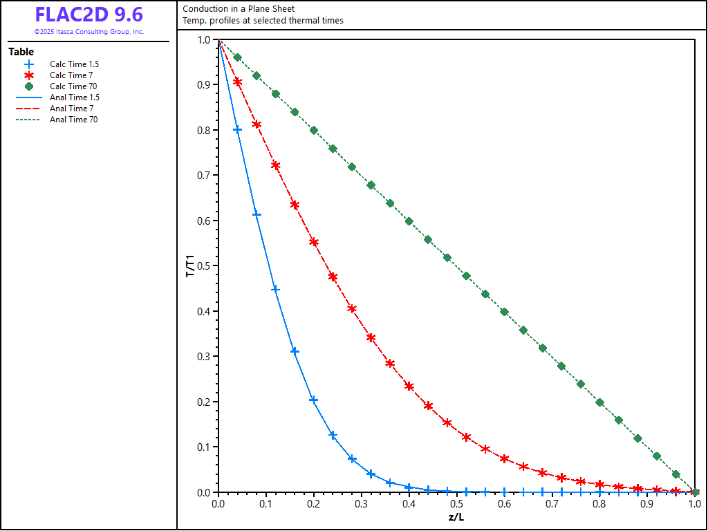
This example contains solutions solved by FLAC2D using both explicit and implicit formulations. The comparison of analytical and numerical temperatures at three thermal times for the explicit solution is shown in Figure 2, and that for the implicit solution in Figure 3. Normalized temperature (\((T(z,t)-T_2)/(T_1-T_2)\)) is plotted versus normalized distance (\(z/L\)) in the two figures, where Tables 2, 4, and 6 contain the analytical solution for temperatures, and Tables 1, 3, and 5 contain the FLAC2D solutions. The three thermal times are 1.5, 7, and 70 seconds for both the explicit and implicit solutions. The solution has reached the equilibrium thermal state by the last time in each case. For both solution formulations, the difference between analytical and numerical temperatures at steady state is less than 0.1%. Note that for the explicit solution, the timestep is approximately 0.07 seconds, while for the implicit solution, the timestep is set to 0.1 seconds.

../../../../../_images/planesheetconduction-exp.png

Figure 2: Comparison of temperatures for the explicit-solution algorithm (analytical values = crosses; numerical values = lines).

../../../../../_images/planesheetconduction-imp.png

Figure 3: Comparison of temperatures for the implicit-solution algorithm (analytical values = crosses; numerical values = lines).

Reference

Crank, J. The Mathematics of Diffusion, 2nd Ed. Oxford: Oxford University Press (1975).

Data File

; Thermal conduction in a plane sheet
; Compares explicit and implicit methods
model new
model title 'Conduction in a Plane Sheet'

; --- main computation ---
zone create quadrilateral size 1 25 point 0 (0,0) point 1 (0.1,0) ...
                                    point 2 (0,1) point 3 (0.1,1)

; -- thermal model
model configure thermal
zone property density 1000
zone thermal property conductivity 1.6 specific-heat 0.2
zone face apply temperature 100. range position-y 0.0
zone face apply temperature   0. range position-y 1.0
model save 'psheet-ini'

; -- Solve
;model solve-thermal 1.5
;model save 'psheet-015'
;model solve-thermal 5.5
;model save 'psheet-070'
;model solve-thermal 63
;model save 'psheet-700'

; -- explicit method
; test
model solve-thermal time-total 1.5
model save 'psheet-exp-015'

model solve-thermal time-total 7
model save 'psheet-exp-070'

model solve-thermal time-total 70
model save 'psheet-exp-700'

; -- implicit method
model restore 'psheet-ini'
; test - start with explicit method
model solve-thermal time-total 1.5
model save 'psheet-exp-015'

; - then switch to implicit
zone thermal implicit on 
model thermal timestep fix 1.e-1
model solve-thermal time-total 7 *
model save 'psheet-imp-070'

model solve-thermal time-total 70
model save 'psheet-imp-700'

Endnote