Power-Mohr Model: Cylindrical Cavity (FLAC2D)

Model Verification

The project file for this example may be viewed/run in FLAC2D.[1] The main data file used is shown at the end of this example.

How To Read and Use Examples

The problem of radial creep of an infinitely long, thick-walled cylinder, presented in Power Model: Cylindrical Cavity, is analyzed again in this example, this time considering a viscoplastic material. The material viscous behavior is characterized by a single-component power law, and the plastic behavior by a Mohr-Coulomb yield criterion. The plastic properties of the material are associated, the cohesion is 15 MPa, and the friction angle is 15 degrees. The steady-state solution is compared to the analytical solution for a viscoelastic material obeying the same viscous law (see Power Model: Cylindrical Cavity).

The model geometry, material properties, and initial and boundary conditions are the same as those used in Power Model: Cylindrical Cavity. The numerical simulation is performed in three stages. In the first stage, the cohesion is set to a high value and the model is run to elastic equilibrium. In the second stage, the actual values for cohesion, friction, and dilation are assigned to the zones, and the new equilibrium state is calculated. The velocities are reset to zero before performing the creep calculation (stage 3).

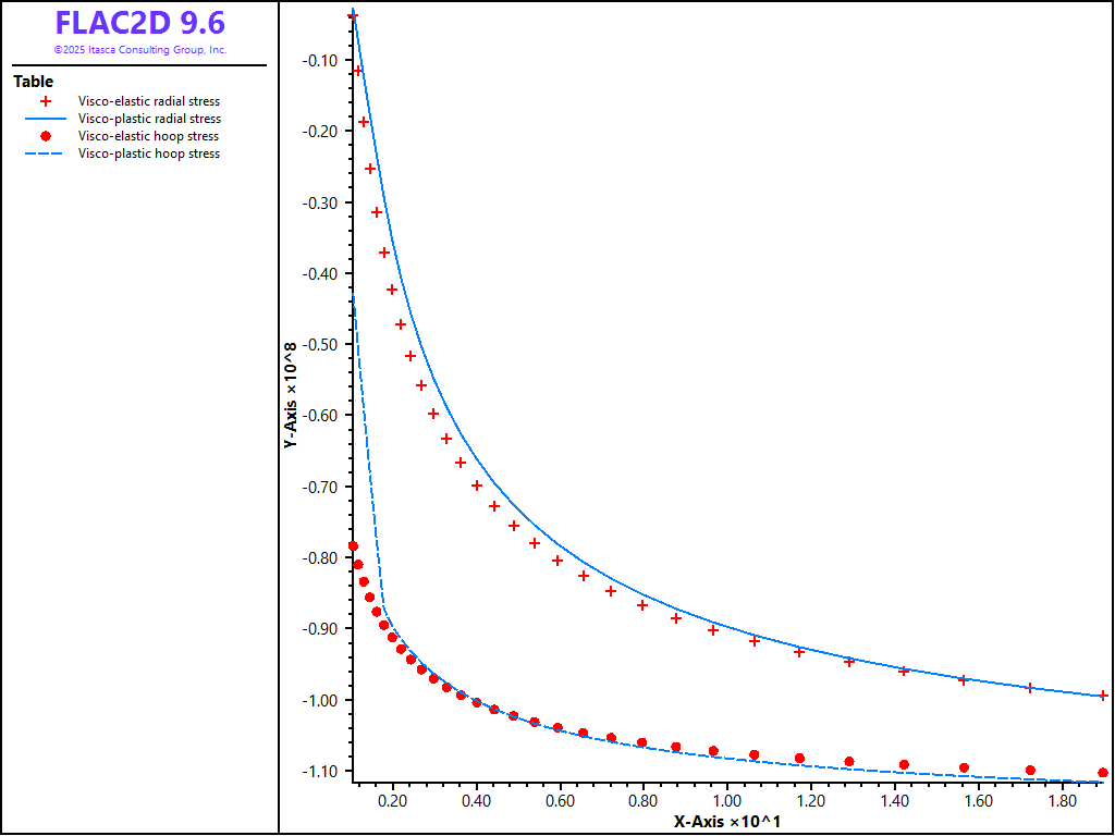
The viscoelastic analytical solution is given by the FISH function powcyl, included in the project. The results for radial and hoop stresses and plastic state at the end of the simulation are presented in Figure 1 and Figure 2. As may be observed on the plots, the region around the internal cavity is yielding, and the effect of plasticity translates in a reduction of the hoop stress magnitude in the plastic domain.

../../../../../_images/cylindrical-cavity-powermohr-stress1.png

Figure 1: Radial and hoop stress at steady state—comparison between viscoplastic solutions (lines) and viscoelastic solutions (symbols).

../../../../../_images/cylindrical-cavity-powermohr-state1.png

Figure 2: Plastic state at steady state.

Data File

;------------------------------------------------------------
;       cylindrical cavity -- power-mohr model
;-------------------------------------------------------------------
model new
model large-strain off
fish automatic-create off
model title "Power-Mohr Creep Model --- Cylindrical Cavity"
model configure creep
;
zone create annular-sector point 0 (0,0) point 1 (20,0) point 2 (0,20) ...
            dimension 1 size 30 10 ratio 1.1 1 
;
zone face skin
zone cmodel power-mohr
; Properties and stresses in Pascal units (not MPa)
zone property bulk=1e9 shear=3e8
zone property constant-1=1e-25 exponent-1=3
zone property cohesion 1e15 tension 1e15
;
zone gridpoint fix velocity-x range position-x 0
zone gridpoint fix velocity-y range position-y 0
zone face apply stress-normal -100e6 range group 'East'
zone initialize stress xx -100e6 yy -100e6 zz -100e6
;
model save 'cyl_pmini'
model step 2000
model save 'cyl_pm0'
zone property cohesion 1.5e7 friction 15 dilation 15 tension 1e15
model step 2000
model save 'cyl_pm1'
;
model history mechanical unbalanced-maximum
zone history velocity-x position (1,0)
zone history velocity-x position (20,0)
zone history displacement-x position (1,0)
zone history displacement-x position (20,0)
zone history stress-xx position (1,0)
zone history stress-yy position (1,0)
zone history stress-zz position (1,0)
model history creep time-total
model history timestep
;
zone gridpoint initialize velocity (0,0)
model creep active on
model creep timestep starting 1.0e-5
model creep timestep minimum 1.0e-5
model creep timestep maximum 1.0
model solve time-total 4000
model save 'cyl_pm2'
; compare analytic solution......
program call 'solution' suppress 
table  '1' label 'Flac3d x-velocity'
table '11' label 'Analytical x-velocity'
table  '2' label 'Flac3d radial stress'
table '12' label 'Analytical radial stress'
table  '3' label 'Flac3d hoop stress'
table '13' label 'Analytical hoop stress'
table  '4' label 'Flac3d out-of-plane stress'
table '14' label 'Analytical out-of-plane stress'
model save 'cylindrical-cavity-powermohr'
program return

Endnote