Elastic Beam with Applied Moment

Problem Statement

Note

To view this project in FLAC3D, use the menu command Help ► Examples…. The data file used is shown at the end of this example.

The tip deflection for a cantilever beam with a moment at its tip is computed and compared with the analytical solution for an Euler-Bernoulli beam. This problem is an example of geometric nonlinearity, whereby deformations significantly alter the location of loads, so that equilibrium equations must be written with respect to the deformed geometry. Such problems can be solved by running FLAC3D in large-strain mode.

Analytical Solution

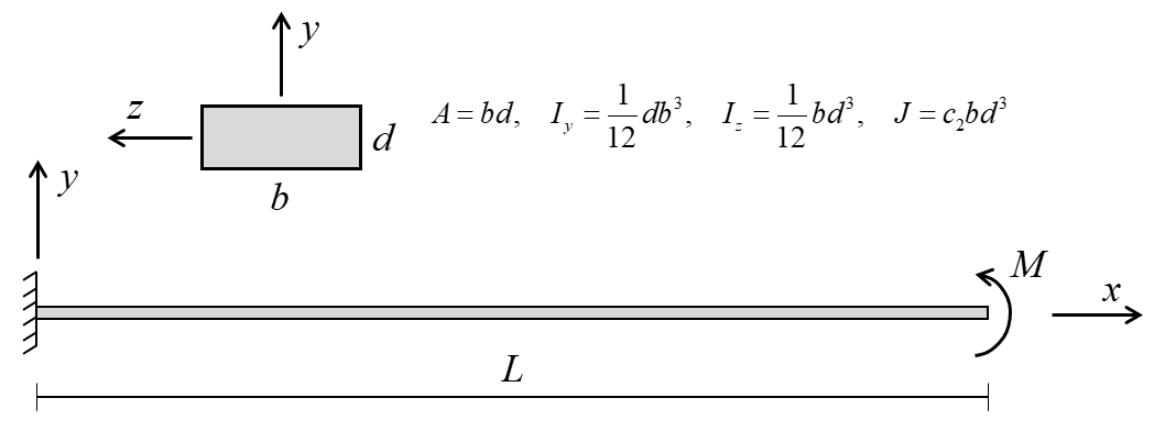
A cantilever beam of length \((L)\) is loaded by a moment \((M)\) at its tip. The analytical solution for tip deflection corresponds with simple beam theory (Euler-Bernoulli beam theory suitable for long thin beams) for an isotropic elastic material. The tip deflection (displacement in the \(y\) direction) is given by Cook et al. (1989, pp. 529-531):

\[v_{\textrm tip} = \frac{E I_z}{M} \left( 1 - \cos \frac{M L}{E I_z} \right)\]

where \(E\) is Young’s modulus, and \(I_z\) is moment of inertia with respect to \(z\) axis. The analytical solution is for the beam shown in Figure 1.

../../../../../_images/appmomentbeam-anal-system.png

Figure 1: Cantilever beam with applied moment at tip.

Particular Problem

The particular problem to be considered is defined as follows. The beam has a 10-m length (\(L = 10 \textrm{ m}\)), and a rectangular cross section with \(b = 1.0 \textrm{ m}\) and \(d = 100 \textrm{ mm}\). The cross-sectional properties (obtained via the expressions in Figure 1) are

\[\begin{split}\begin{gather} A = 0.1 \textrm{ m}^2 \\ I_y = 8.33 \times 10^{-3} \textrm{ m}^4, \quad I_z = 8.33 \times 10^{-5} \textrm{ m}^4 \\ J = 3.12 \times 10^{-4} \textrm{ m}^4 \end{gather}\end{split}\]

where the constant \(c_2 = 0.312\) (Crandall et al., 1978, Table 6.1). The beam is comprised of structural steel, and is assumed to behave as an isotropic elastic material with

\[E = 200 \textrm{ GPa}, \quad \nu = 0.30\]

The properties \(\{ A, I_y, J, \nu \}\) are not relevant for this problem; however, they are needed as input for the FLAC3D model. The moment \((M = 2 \times 10^6 \textrm{ Nm})\) is applied at the beam tip. For these properties, the tip deflection is \(5.31529 \textrm{ m}\).

FLAC3D Model

The FLAC3D model consists of 10 beam elements and 11 nodes, as shown in Figure 2. The beam element coordinate system is aligned with the global coordinate system by setting the direction-y property equal to \((0,1,0)\). A fixed support is specified at the left end by restricting translation and rotation (in all degrees of freedom) of the node at the left end. A moment vector aligned with the \(z\) direction is applied to the node at the tip. The \(y\)-displacement at the tip is monitored as a history. Local nonviscous damping is used with a damping factor of 0.8. The model is run in large-strain mode to capture the geometric nonlinearity. The model is cycled until a convergence limit of \(1 \times 10^{-3}\) is achieved.

../../../../../_images/amb-geom.png

Figure 2: Geometry of the FLAC3D model showing mesh with nodes and global coordinate system.

Results and Discussion

The deformed shape and tip-deflection history are shown in Figure 3, from which we conclude that the static solution has been obtained. The tip deflection equals \(5.32175 \textrm{ m}\), which is within 0.12% of the analytical solution.

../../../../../_images/amb-deformed.png

Figure 3: Final configuration and tip deflection.

References

Cook, R. D., D. S. Malkus and M. E. Plesha. Concepts and Applications of Finite Element Analysis, Third Edition. New York: John Wiley & Sons Inc. (1989).

Crandall, S.H., N.C. Dahl and T.J. Lardner. An Introduction to the Mechanics of Solids, Second Edition, New York: McGraw-Hill Book Company (1978).

Data File

AppliedMomentBeam.dat

model new
model title 'Elastic Beam with Applied Moment (with beam elements)' 

; Create beam and assign properties.
structure beam create by-line (0,0,0) (10,0,0) segments 10 ...
                   element-type euler-bernoulli *
structure beam cmodel assign elastic
structure beam property young 200e9 poisson 0.30
structure beam property cross-sectional-area 0.1 ...
                     moi-y 8.33e-3 moi-z 8.33e-5 torsion-constant 3.12e-4 ...
                     direction-y (0,1,0)

; Apply boundary conditions.
structure node fix velocity rotation  range position-x 0.0  ; fully fix left end
structure node apply moment (0,0,2e6) range position-x 10.0 ; apply moment at tip

; Monitor history of tip deflection.
structure node history name 'tipDef' displacement-y position (10.0, 0, 0)

model save 'initialConfig'

model large-strain on
model solve convergence 1e-3
model save 'AppliedMomentBeam'