Uniaxial Compression and Extension Tests with Concrete Model

Note

The project file for this example may be viewed/run in 3DEC.[1] The data files used are shown at the end of this example.

In this example to test the Concrete model, a 1 m x 1 m single hexahedral zone is generated, and the material properties are listed in Table 1. The model behavior is compared to laboratory data from Lee and Fenves (1998).

Table 1: Concrete Model Properties

Parameter

Value

\(E\) (MPa)

3.14e4

\(\nu\)

0.18

\(f_t^m\) (MPa)

3.48

\(f_t^0\) (MPa)

3.48

\(G_t\) (MN/m)

40e-6

\(l_t\) (m)

0.0826

\(D_t^{half}\)

0.5

\(f_c^m\) (MPa)

27.6

\(f_c^0\) (MPa)

16.04

\(G_c\) (MN/m)

5690e-6

\(l_c\) (m)

0.0826

\(D_c^{peak}\)

0.4

\(f_b^0/f_c^0\)

1.16

\(a_p\)

0.2

\(s_0\)

0.2

The first test is the uniaxial compression loading. The 3DEC results compared to the laboratory results are shown in Figure 1. The numerical model correctly duplicated the whole loading, which can be verified by the elastic slope (Young’s modulus), initial and peak compression yield stress.

../../../../../_images/ss-compression.png

Figure 1: Uniaxial stress vs. uniaxial strain in compression. Compression is positive.

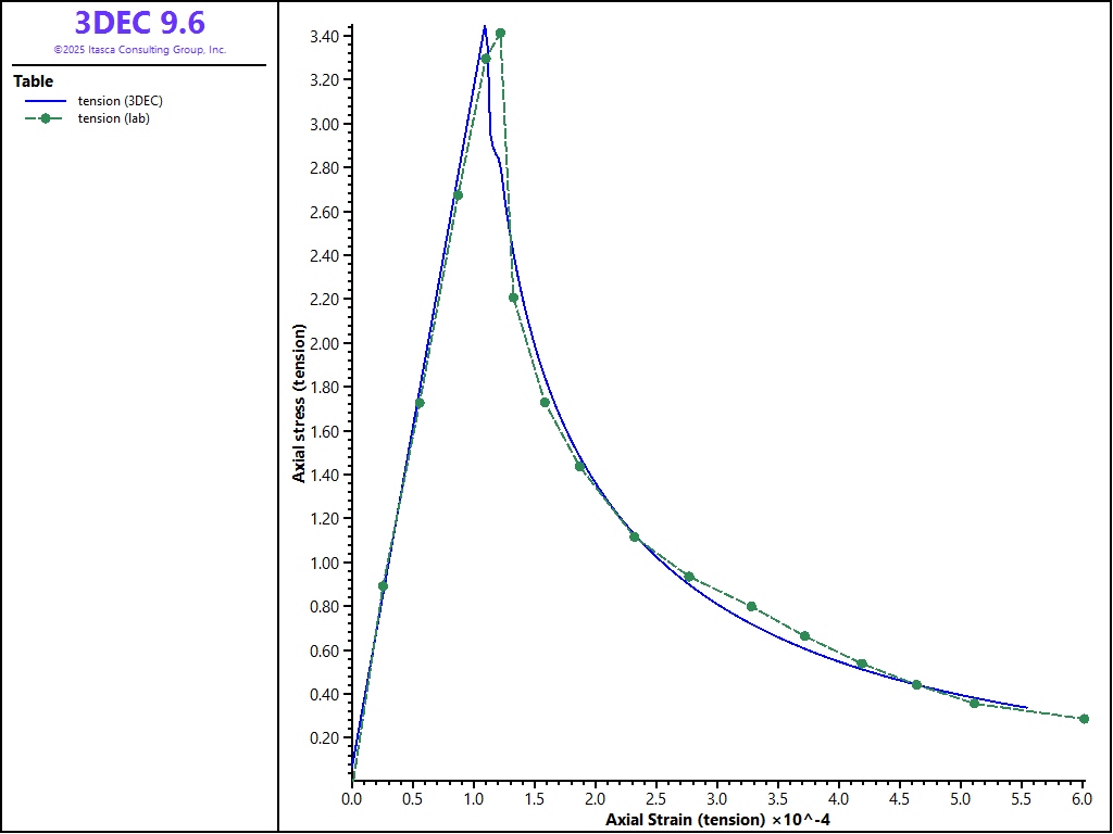
The second test is the uniaxial tension loading. The 3DEC results compared to lab results are shown in Figure 2. Since \(f_t^0=f_t^m\), the uniaxial tension stress vs train curve has immediate softening, which has been correctly simulated by the numerical model the whole loading.

../../../../../_images/ss-tension.png

Figure 2: Uniaxial stress vs. uniaxial strain in extension.

References

Lee, J., & Fenvas, G. L. (1998). Plastic-damage model for cyclic loading of concrete structures. Journal of engineering mechanics, 124(8), 892-900.

Data File

uniaxialCompression.dat

model new
model large-strain off
;
fish define parameters
    global young = 3.1e4  ; MPa
    global poisson = 0.18 
    global ft = 3.48      ; MPa
    global Gt = 40e-6     ; MN/m
    global Lt = 0.0826    ; m
    global fc = 27.6      ; MPa
    global ft = 3.48      ; MPa
    global Gc = 5690e-6   ; MN/m
    global Lc = 0.0826    ; m  
    global kbc0 = 1.16 
    global fc0 = 16.04    ; MPa
    global ft0 = 3.48     ; MPa 
    global dc = 800       ; dc
    global dt = 3000    ; dt
end
[parameters]
;
block create brick 0 1
block zone generate hexahedra divisions 1 1 1
;block zone generate-new maximum-edge 0.25
;block zone nodal-mixedip-directionisc on

block gridpoint group 'top' range position-z 1
[global gpsTop = list(block.gp.list)(block.gp.isgroup(::block.gp.list,"top"))]

block zone cmodel assign concrete
block zone property density 2500 young [young] poisson [poisson]
block zone property compression-strength [fc] compression-initial [fc0] ...
                    compression-energy-fracture [Gc] 
block zone property compression-length-reference [Lc] compression-d [dc] 
block zone property tension-strength [ft] tension-initial [ft0] ...
           tension-energy-fracture [Gt] 
block zone property tension-length-reference [Lt] tension-d [dt]
block zone property ratio-biaxial [kbc0] tension-recovery 0.2
block zone property dilation 20

block gridpoint apply velocity-z 0 range position-z 0

[gptr = block.gp.near(1,1,1)]
fish define szz
   strain  = -block.gp.disp(gptr)->z
   szz = -list.sum(block.gp.force.reaction(::gpsTop)->z)
end

history interval 200
fish history name 'strain' strain 
fish history name 'szz' szz

block gridpoint apply velocity-z -5e-6 range group 'top'
model step 50000

history export  'szz' vs 'strain' table 'compression-3dec'
table 'compression-3dec' export 'compression-3dec' truncate

model save 'uniaxial-Compression'

uniaxialTension.dat

model new
model large-strain off
;
fish define parameters
    global young = 3.1e4  ; MPa
    global poisson = 0.18 
    global ft = 3.48      ; MPa
    global Gt = 40e-6     ; MN/m
    global Lt = 0.0826    ; m
    global fc = 27.6      ; MPa
    global ft = 3.48      ; MPa
    global Gc = 5690e-6   ; MN/m
    global Lc = 0.0826    ; m  
    global kbc0 = 1.16 
    global fc0 = 16.04    ; MPa
    global ft0 = 3.48     ; MPa 
    global dc = 800       ; dc
    global dt = 3000      ; dt
end
[parameters]

block create brick 0 1
block zone generate hexahedra divisions 1 1 1
;block zone generate-new maximum-edge 0.25
;block zone nodal-mixedip-directionisc on

block gridpoint group 'top' range position-z 1
[global gpsTop = list(block.gp.list)(block.gp.isgroup(::block.gp.list,"top"))]

block zone cmodel assign concrete
block zone property density 2500 young [young] poisson [poisson]
block zone property compression-strength [fc] compression-initial [fc0] ...
                    compression-energy-fracture [Gc] 
block zone property compression-length-reference [Lc] compression-d [dc] 
block zone property tension-strength [ft] tension-initial [ft0] ...
                    tension-energy-fracture [Gt] 
block zone property tension-length-reference [Lt] tension-d [dt]
block zone property ratio-biaxial [kbc0] tension-recovery 0.2
block zone property dilation 20

block gridpoint apply velocity-z 0 range position-z 0

[gptr = block.gp.near(1,1,1)]
fish define szz
   strain  = block.gp.disp(gptr)->z
   szz = list.sum(block.gp.force.reaction(::gpsTop)->z)
end

history interval 100
fish history name 'strain' strain 
fish history name 'szz' szz

block gridpoint apply velocity-z 5e-7 range group 'top'
model step 25000

history export  'szz' vs 'strain' table 'tension-3dec'
table 'tension-3dec' export 'tension-3dec' truncate

model save 'uniaxial-Tension'

Endnote